1. 통계적 추론:
"모든 데이터를 볼 수 없으니까, 일부만 보고 전체를 추측하자!"
통계적 추론에는 3가지 방법:
| 방법 | 설명 | 예시 |
| 점 추정 | 정확한 수치 추정 | 평균이 딱 50일 거야 |
| 구간 추정 | 범위를 추정 | 평균이 48~52 사이일 거야 |
| 가설 검정 | 가설을 세우고 검증 | 정말 평균이 50일까? |
이 중, 가설 검정에 대해 알아보자!
2. 가설검정(Hypothesis Testing):
샘플 데이터를 이용해, 모집단에 대한 가설이 맞는지 틀린지를 통계적으로 검증하는 과정!
어떤 주장이 맞는지 틀린지 통계적으로 따져보는 과정
💡 가설(hypothesis) = 아직 증명되지 않은 주장
- 수학적 가설 → 참/거짓으로 딱 떨어지게 판별 가능
- 통계적 가설 → 100% 확신은 못 하고, '확률적으로 유의미한가'를 보는 것
예를들어,
A라는 피자집에서,
"우리 피자는 평균적으로 토핑이 10개씩 올라가요! 🍕 " 라고 얘기한다면?
→ 정말 그럴까?
→ 피자를 30판 사서 세어보자! (데이터 모으기)
→ 결과를 바탕으로 주장이 맞는지 확인해 보자!
이게 바로~ 가.설. 검.정.
모집단을 직접 관찰할 수 없기 대문에 표본(샘플)을 사용하고,
표본으로 내린 결론에는 항상 오류 가능성이 존재
→ 이 오류를 수치화하고 판단 기준을 만드는 게 가설 검정의 핵심!
3. 귀무가설 (H₀) 과 대립가설 (H₁)
| 구분 | 뜻 | 예시 |
| 귀무가설(H₀) | 부정하고 싶은 주장 | 피자 토핑 평균 = 10개 (피자집 말이 맞다) |
| 대립가설(H₁) | 입증하고 싶은 주장 | 피자 토핑 평균 < 10개 (피자집 말이 틀렸다, 덜 준다!) |
원칙:
- 가설 검정은 항상 귀무가설( H₀ )을 기준으로 시작
- 귀무가설을 기각할 근거가 있으면 → 대립가설(H₁) 채택
4. 유의 수준 (Significance level; α)
유의수준(α)은 "귀무가설이 맞는데도 잘못 기각할 확률"을 의미
- 다시 말해, 제1종 오류(α)를 허용하는 최대 한계치!
- 보통 5% (α = 0.05) 또는 1% (α = 0.01)를 사용.
쉽게 말하면: "내가 5% 확률로 틀릴 수도 있지만, 이 정도는 감수할게!"
🔥 논문 작성 시:
- 유의수준 (α) 은 미리 설정하고, 결과를 그 기준으로 해석
- p-value < α → 귀무가설 기각
- p-value ≥ α → 귀무가설 채택
5. 제 1종 오류 & 제 2종 오류
가설 검정에는 두 가지 오류 가능성이 있다.
| 실제로 H₀ 참 | 실제로 H₀ 거짓 | |
| H₀ 기각 | ❌ 제1종 오류 (α) | 옳은 결정 (1- β , 검정력) |
| H₀ 채택 | 옳은 결정(1- α) | ❌ 제2종 오류 (β) |
제1종 오류 (α): 귀무가설이 맞는데 잘못 기각
- 예시: “무죄인데 유죄로 판결” → 억울하게 처벌
- 유의수준(α): 보통 0.05 (5%) 사용
제2종 오류 (β): 귀무가설이 틀렸는데 기각 못 함
- 예시: “유죄인데 무죄로 판결” → 범인 놓침
- β를 줄이면 검정력이 높아짐 (보통 검정력 80% 이상 요구 → β ≤ 0.2)
기억하기:
- α 줄이면 → 신중해짐 (억울한 사람 적음)
- β 줄이면 → 범인 놓침 줄임
- 하지만, 둘 다 동시에 줄이긴 어려움.
🔥 논문 포인트:
- 보통 α = 0.05 사용 (기본적인 유의수준) → 5% 이내로 억울한 기각을 허용
- 검정력 80% 이상 → 실험 디자인에서 고려해야 함
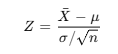
6. 검정 통계량 (Test Statistic)
귀무가설을 검증하기 위해
표본 데이터와 귀무가설의 모평균 차이를 수치화한 값!
(귀무 가설을 검증하는 기준)
Z-검정 공식:

| 기호 | 의미 | 설명 |
| X̄ | 표본 평균(sample mean) | 표본 데이터의 평균 값 |
| μ | 모평균(population mean) | 귀무가설에서 주장하는 모집단 평균 |
| σ | 모집단 표준편차(population standard deviation) | 모집단 전체의 표준편차 (모를 경우 표본 표준편차 사용) |
| n | 표본 크기(sample size) | 표본 데이터의 개수 |
Z 값 해석:
- Z = 0 → 표본 평균과 귀무가설 평균이 완전히 일치
- Z 값이 커지거나 작아질수록 → 귀무가설과 차이가 커짐
- 기준선을 넘으면 → 귀무가설 기각!
🔥 논문 포인트:
- Z 값만 쓰지 말고, p-value까지 함께 제시!
7. 기각역(Rejection Region)
기각역: 귀무가설을 기각하는 기준선, 유의수준(α)에 따라 결정됨
유의수준(α)에 따른 Z 값 기준선:
| 유의수준 (α) | 단측검정 Z 기준 | 양측검정 Z 기준 |
| 0.10 | ±1.28 | ±1.645 |
| 0.05 | ±1.645 | ±1.96 |
| 0.01 | ±2.33 | ±2.576 |
- 단측검정: 특정 방향으로만 차이를 볼 때 (ex. 토핑이 적은지 확인)
- 양측검정: 양쪽으로 차이를 확인할 때 (ex. 토핑이 많거나 적은지 둘 다 궁금)
8. 단측 검정 vs 양측 검정
| 검정방식 | 대립가설 | 기각역 | 사용시기 |
| 양측검정 | μ ≠ μ₀ | |Z| > Z_α/2 | 평균이 같은지/다른지 비교 |
| 단측검정 (오른쪽) | μ > μ₀ | Z > Zα | 특정 방향으로 커졌는지 알고 싶을 때 |
| 단측검정 (왼쪽) | μ < μ₀ | Z < -Zα | 특정 방향으로 작아졌는지 알고 싶을 때 |
Z값 기준:
- α = 0.05 → 단측 Zα = 1.645, 양측 Zα/2 = 1.96
- α = 0.01 → 단측 Zα = 2.33, 양측 Zα/2 = 2.576
9. P-value
p-value = "귀무가설이 맞다고 가정했을 때, 관측된 값 이상이 나올 확률"
- p-value < α → 귀무가설 기각
- p-value ≥ α → 귀무가설 채택
해석법:
| p-value | 해석 | |
| p < 0.001 | 극히 유의함 | Extremely significant |
| p < 0.01 | 매우 유의함 | Highly significant |
| p < 0.05 | 유의함 (보통 유의하다 해석하는 기준선) | Significant |
| p < 0.1 | 약간 유의성 있음 (경향이 있다고 일부 연구에서 해석하기도 하지만, 보수적인 연구에서는 기각 불가) |
Marginally significant |
| p ≥ 0.1 NS or exact p-value |
유의하지 않음 (기각 불가) | Not significant |
🔥 논문 작성 팁:
- p-value는 정확히, 구체적으로 표기: p = 0.032
- 단순히 “유의하다” 대신, "p < 0.05" 식으로 표현
- 특정 학회나 분야에서 사용하는 기준을 확인하기
10. 가설 검정의 5단계
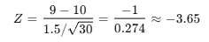
🎯 문제:
피자집 사장님: "우리 피자는 평균적으로 토핑이 10개씩 올라가요!"
확인을 위해 30판의 피자를 샘플링(n=30)해서 토핑 개수를 세어봄.
- 평균: 9
- 표준편차: 1.5
이 때 사장님의 말이 맞는걸까?
✔️ STEP 1: 가설 세우기
- H₀ (귀무가설): 피자 토핑 평균: → μ = 10
- H₁ (대립가설): 피자 토핑 평균 → μ < 10 (토핑이 적다고 의심)
✔️ STEP 2: 얼마나 차이나는지 계산하기 (Z-값(검정통계량) 구하기)
공식:

✔️ STEP 3: 유의수준 설정:
- α = 0.05 → 단측검정 기준 Z = -1.645
✔️ STEP 4: 기각 여부 판단
- Z = -3.65 < -1.645 → 귀무가설 기각! → 사장님 말 틀렸다!
- p-value ≈ 0.00013 → 0.05보다 훨씬 작음 → 매우 유의미한 결과
(단, 5% 확률로 틀릴 수도 있음 → 이게 α!)
논문에서는 이렇게 쓴다:
"표본평균은 9개로, 귀무가설 하에서 관측될 확률은 0.013% (p = 0.00013)로 유의수준 0.05에서 귀무가설을 기각할 수 있었다.
11. 유의수준 vs p-value
| 유의수준(α) | "기각할 기준선" 역할 | 보통 0.05 사용 |
| p-value | "우연히 나올 확률" | 작을수록 귀무가설 기각 가능성 ↑ |
p-value = "이 정도 결과가 우연히 나올 확률"
- p-value < α (0.05) → 귀무가설 기각
- p-value ≥ α → 귀무가설 채택
💡 쉬운 해석:
"이 결과가 그냥 우연히 나올 확률은 0.013%밖에 안 되니까, 사장님 말이 틀려!"
12. 요약표
| 용어 | 뜻 | 예시 |
| 귀무가설 (H₀) | "변화 없음" | "이 다이어트 효과 없음" |
| 대립가설 (H₁) | "변화 있음" | "이 다이어트 효과 있음" |
| 제1종 오류 (α) | 억울하게 기각 | 무죄인데 유죄 판결 |
| 제2종 오류 (β) | 범인 놓침 | 유죄인데 무죄 판결 |
| 유의수준 (α) | 실수 허용 범위 | 보통 5% (0.05) 사용 |
| p-value | 우연히 나올 확률 | 작을수록 귀무가설 깨기 쉽다 |
| 검정통계량 (Z값) | 기준점 | "얼마나 차이가 나는지" |
| 기각역 | "넘어가면 기각" | 기준선 넘으면 귀무가설 OUT |
💡 TIP:
- 귀무가설부터 세워라 → 항상 기본 가정!
- p-value와 유의수준 비교 → 작으면(p-value < α) 귀무가설 기각!
- "결과가 의미 있는가?"와 "우연일 가능성은 낮은가?"를 구분할 것!
'통계' 카테고리의 다른 글
| 통계와 나 (0) | 2025.04.24 |
|---|---|
| [통계] 제 1종 오류(α) vs 제 2종 오류(β) (0) | 2025.02.27 |
| [통계] 단측 검정(One-tailed Test) 이론 & 예시 (0) | 2025.02.26 |
| [통계] 자유도(degree of freedom, d.f.) (2) | 2025.02.17 |